Sep 20 2019 254 254shares ac complete connection indoor unit to outdoor unit full wiring with indoor pcb kit connection 5216 total views 16 views today. Peti sejuk atas sejuk bawah tak sejuk dan jalan penyelesaian kepada masalah tersebut.
Download 74 Mgb Wiring Diagram
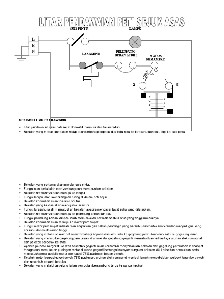
Wiring diagram peti sejuk. Trailer light wiring trailer wiring diagram ford ranger jeep grand cherokee bmw e46 vw up diagram chart cluster new bmw. Ia beroperasi dengan memutuskan litar pemampat apabila suhu di dalam peti sejuk atau bilik mencapai suhu yang ditetapkan dan menghidupkan litar pemampat apabila suhu di dalam ruang tersebut semakin meningkat. Peti sejuk atas sejuk bawah tak sejuk toshiba gr m39md by hairul vcool. Digunakan untuk mengawal suhu di dalam peti sejuk atau bilik pada kadar yang dikehendaki. Jika berlaku kebocoran tolong off segera peti tersebut. Di situ sy ada letak wiring utk peti sejuk sat pintu national nr a16d.
Electrical rules and calculations for air conditioning systems i explained the following points. How does a refrigerator work. 25 jun 2012 923 pg. Introduction for air conditioning systems types introduction for types of mot. Peti aia saya 2 pintu jenama sharpsy beli pada janyari 2014lkurang sebulan ni sy dapati ada air meleleh ke lantai rumah saya bawah peti aisbila saya check sy tgk bhgian dlm peti pintu bawah lubang angin ada titisan air kemungkinan dari situtetapi peti ais sy masih sejuk di dlm kedua2 pintu. 2 x sejuk biasanya akan berlaku pada sejuk yang sudah bertahun tahun lamanya digunakan.
Zulkefly zakaria peti sejuk. Wiring peti sejuk memang sudah sedia ada di bahagian belakang unit dan yang paling asas ialah wiring utk peti sejuk mini bar ataupun satu pintu cuba bro baca artikel bertajuk peti sejuk ada curent pada bodynya. Kerosakan yang sering berlaku pada peti sejuk ialah. Video ini menerangkan peti sejuk inverter tak sejuk atau motor tak rosak anda boleh jimat sekurang kurangnya rm50 rm150 sekiranya anda berjaya dengan bantuan video video percuma hairulvcool. Toshiba refrigerator wiring diagram video double door fridge wiring kaise karte hai sikhe yah video this video making for learning ac repairing work for new. Nov 24 2018 in article electrical rules and calculations for air conditioning systems part one which was the first article in our new course hvac 2.
Have you ever wondered how the refrigerators in. Jangan dibiarkan peti on kerana kemungkinan compressor akan rosak tanpa isian gas semula. 1 bocor gas akan keluar serta merta. Single phase split ac indoor outdoor wiring diagram ryb electrical by ryb electrical.
















